

H1 Mathematics is a common subject amongst Arts students and those who have never taken Additional Mathematics in their secondary school life. While H1 Mathematics is the easier and lighter alternative to H2 Mathematics, many fail to pay enough attention to it, causing them to lose their “easy” A. Alternatively, H1 Mathematics can also appear to be so foreign to students who have never differentiated something in their lives. Not to worry! Your distinction is not that far off. Here at the top JC tuition centre in Singapore, we have compiled a list of common mistakes that students never fail to make.
Mathematics is a subject of practice. If you want to do well, there is no other recipe to success other than practising over and over (…and over) again. Precisely because it is an H1 subject, the bell curve for the A Level H1 Mathematics examination is extremely steep, and one mark may make a huge difference, making it all the more important that you really score for your paper.
There are three main topics under the syllabus of H1 Mathematics: Functions and graphs, Calculus, as well as Probability and Statistics. If you want to attain your coveted distinction, you must make sure to master every topic! Pull out those topical practices to solve your misconceptions. It’ll help you to familiarise yourself with the individual topics before moving on to past-year papers (either school exams or from your ten-year series). When attempting these mock papers, you must make sure that you adhere to the stipulated time given – 3 hours (Fig 1.).

Why? Because it is important to stimulate examination conditions in order for you to get used to it! If you are concerned about having insufficient materials for practice, fret not. Here at our JC math tuition programme, our dedicated tutors always make it a point to meticulously compile common questions for every topic just for you. You can expect a whole bank of questions across the various topics and subtopics to work on during class time with us or on your own, along with succinct summary sheets for you to consolidate your learning. Our summary “cheat sheets” are simply a must-have because it’ll provide you with a comprehensive overview of all the relevant concepts and it even doubles up as the perfect tool for last-minute revision to jolt your memory before you step into the examination hall!
As mentioned earlier in our article, you will have 3 hours to complete your A Level H1 Mathematics examination paper. As you practise more and more, you will find yourself completing your A Level H1 Mathematics papers before the 3 hours are even up. During the A Level examinations itself, you may find it tempting to rest after you’ve completed your paper. However, it is very important that you check your paper thoroughly for any careless mistakes. In a bid to finish our paper quickly, we may rush through the thinking process and make silly errors. One mark may even cause a grade jump, and this can be reflected in your rank points! So make sure you check your paper thoroughly! Keep a lookout for transfer mistakes, units, and significant figures. If you have enough time to, redo the paper in pencil. Don’t waste a single minute of the 3 hours given; you only have one shot in bagging that A.
Presentation plays a key role in H1 Mathematics, especially under the topic of Probability and Statistics. The H1 Mathematics paper is divided into two sections, section A and section B.
Make sure you present your answers clearly and neatly; your answers should always be legible and your marker should not be struggling to decipher your workings. Do not skip steps because you will be awarded method marks.
Section A
Section A comprises Algebra, where you’ll focus on the topics of Graphs and Functions, as well as Calculus. Here is where you will find questions on inequalities, logarithms, graphing, and differentiation.
For example, “Differentiate 3×2 + 2x + 1”
Correct presentation: ddx (3×2 + 2x + 1)
Wrong presentation: dydx(3×2 + 2x + 1)
Section B
Section B comprises the topic of Probability and Statistics, which is where you definitely cannot skip out on proper presentation.

If you are unsure of the correct presentation formats, our friendly Zenith tutors are always ready to answer your questions! We believe in combining modern and traditional teaching methods to provide you with the best Zenith experience. Our comprehensive tuition program adopts the idea of a “help hotline”, where all our tutors are contactable round-the-clock for you to clarify any pressing doubts! Our hardworking tutors always strive to reply to you as soon as possible because here at Zenith, we understand the importance of instant clarification! Prefer to ask your questions face to face? Fret not! At Zenith, we have designated study spots in all our centres for you to have consultations with our tutors. Our study spots are always located right beside our welfare corner which is always filled to the brim with delicious snacks and drinks just for our students! Check out our upcoming centre tours on our Instagram page!
You can expect to find at least one big question on either topic in every single A Level H1 Mathematics paper. Every year without fail, students struggle with this topic (perhaps because it is so foreign/new). Here are some common mistakes that students make in this topic:
1. Writing the wrong symbol, ‘N’ stands for Normal Distribution and ‘B’ stands for Binomial Distribution. Questions might state the model that it is following (Normal or Binomial Distribution ). However, in the case that it does not, a general rule of thumb to follow is that if there is probability and a certain number of events involved, it is binomial.
2. Not utilising the Central Limit Theorem (CLT) correctly. If the question does not state that the distribution follows either a Normal or Binomial Distribution, you need to assume that the CLT applies (Fig 4.) In the scenario where the CLT is needed, many students also forget to state the CLT. So always remember to state that you are using the CLT, as seen in Fig 4!
3. When stating the ‘Binomial model’ or ‘Normal model’, many students mix up the formula for each model. It is important to remember the correct formula to gain the relevant method marks, and secondly, avoid using the wrong value for future calculations.
4. There are two formulas you must remember when dealing with the ‘Binomial model’ and ‘Normal model’. Students often mix these two formulas up and hence, end up with wrong answers.
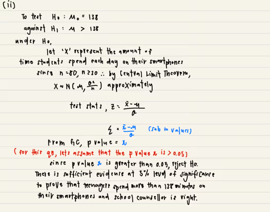
Similar to Normal and Binomial Distribution, you can expect to find a question on Hypothesis Testing in every H1 A Level Mathematics paper. Hypothesis Testing pulls a high weightage, especially since one question can amount to about 10 marks or more. Many students struggle with their presentation, as well as ideas on the critical region (Fig 5.), which is what Zenith will be delving into today. Critical region refers to the region in which your range of n should be.
As mentioned earlier, marks are appropriately awarded for presentation and methodology. Thus you need to get your presentation (Fig 4.) for Hypothesis Testing right. We will be looking at a sample question from ACJC’s 2021 Post Baccalaureate Paper.

Part (i) for this Hypothesis Testing question is very straightforward, hence, let’s take a look at part (ii) instead. Part (ii) requires you to find out whether the ‘true mean time spent each day is understated’, as lifted from the question. Thus, you will need to perform a single-tailed test to find out if the ‘true mean time’ is more than the given mean of 138 minutes (Fig 4.). In the preamble, the question did not state that it will be following a normal distribution model, hence you will need to use the Central Limit Theorem (CLT).

The presentation for hypothesis questions is often standardised, remember to include all components as seen in Fig 4., especially the conclusion. It is important to directly address the question in your conclusion, as we have done so in Fig 4.

Questions that involve the usage of the critical region are the most confusing for students, especially for those who don’t understand what the region represents. The critical region represents the range by which the test statistic is accepted, according to the level of significance and the type of test the question has provided. For this example, the question asks for a “two-tailed test’, which is why we will be considering the shaded region in Fig 5. The question usually involves the critical region when n, the number of people/events is unknown!
In this brief article, Zenith has touched on a few common mistakes that one might make in H1 Mathematics. If you are interested to find out more and attending our Top H1 Mathematics A Level Tuition Program, click here. We boast a national average of 66% distinctions amongst our students across all subjects, so rest assured that you are in good hands! At Zenith we also understand the qualms about committing to a tuition centre, which is why we offer free trials across all subjects, both at the secondary and junior college level!
Here at Zenith, we know how tiring the A Level Journey can be, which is why we always prioritise the wellbeing of our students. As mentioned earlier in our article, we have study areas in all centres just for our students. As long as Zenith is open, our air-conditioned study spots, snacks, and power points will always be accessible to you. You will never have to fret about looking for study areas ever again! We also have monthly welfare events and termly outings where we treat our students; this year we brought them to Universal Studios Singapore (Fig 6.) in quarter 1 of 2022! Look out for upcoming events on our Instagram page. Lastly, we know how important distance is when factoring in the pros and cons of a tuition centre, which is why all of our centres are located a stone’s throw away from various MRT stations. Our slots fill up very quickly, so sign up now to avoid disappointment!

Explore resources and strategies for learners at every stage